26.01.2026
Forschung: Asymptotisch nicht-diagonalisierbare stationäre Zustände in dissipativer Dynamik
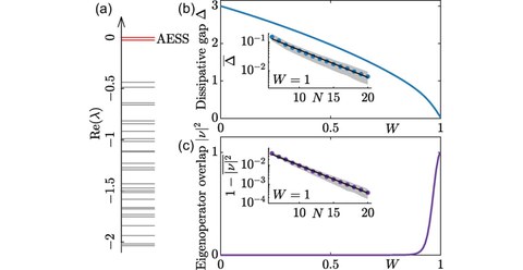
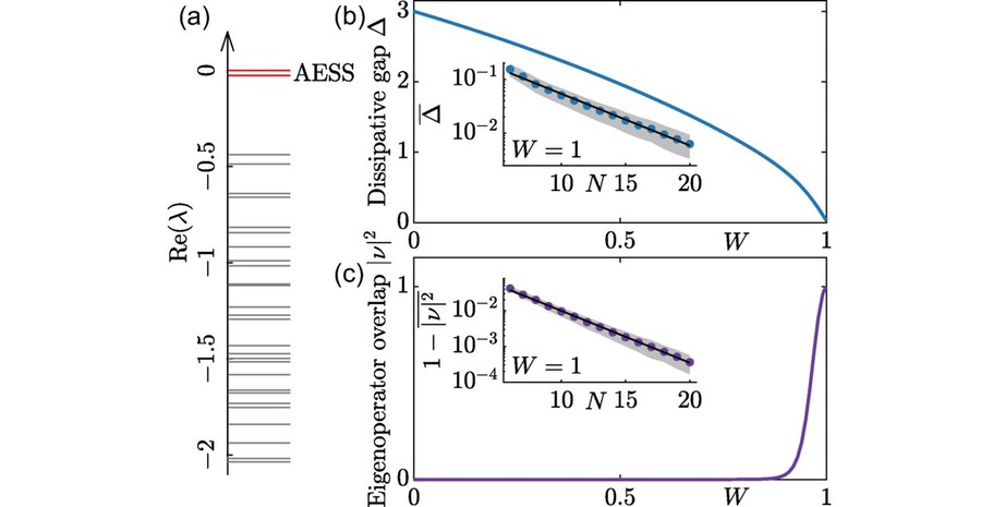
Die Komplexität von Vielteilchensystemen in der Quantenphysik spiegelt sich direkt in der Schwierigkeit wider, quantenmechanische Zustände von Interesse – wie etwa Grundzustände, die das System bei Nulltemperatur beschreiben – zu präparieren. In generischen dissipativen Dynamiken manifestiert sich dieses Problem in Form einer kritischen Verlangsamung, das heißt in der Divergenz der Zeit, die das System benötigt, um seinen stationären Zustand mit wachsender Systemgröße zu erreichen. Forschende der TU Dresden und des MPIPKS Dresden haben nun die tiefere Struktur hinter dieser Verlangsamung aufgedeckt, indem sie deren direkten Zusammenhang mit der asymptotischen (bei zunehmender Systemgröße) Verschmelzung des stationären Zustands mit einem weiteren Eigenzustand des Liouville-Operators gezeigt haben, der die dissipative Dynamik beschreibt. Diese Verschmelzung von Eigenzuständen führt zu einer asymptotisch nicht-diagonalisierbaren Struktur des Liouvillians, was eine überraschende Entdeckung darstellt, da das Auftreten einer solchen Struktur für den stationären Zustand eines beliebigen dynamisch stabilen Systems bislang als mathematisch unmöglich galt, nun aber eben doch in asymptotischer Annäherung im thermodynamischen Limes erreicht wird. Neben ihrer breiten Anwendbarkeit verleiht die qualitativ unterschiedliche Reaktion nicht-diagonalisierbarer Punkte auf Störungen der vorliegenden Entdeckung unmittelbare physikalische Relevanz.
Y.-M. Hu, J. C. Budich,
Asymptotic Exceptional Steady States in Dissipative Dynamics,
Phys. Rev. Lett. 135, 250402 (2025) (arXiv)