10.11.2025
Forschung: Quanten-Hall-Effekt ohne Chern-Bänder
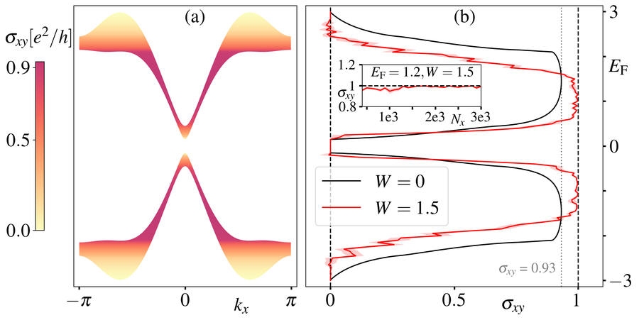
Abbildung (a): Zugrundeliegende triviale Bandstruktur. Abbildung (b): Hall-Leitwert ohne Störstellen (W = 0) und mit endlicher Amplitude W = 1.5 des Störstellenpotentials.
Der Quanten-Hall-Effekt wurde zuerst in einem zweidimensionalen Elektronengas beobachtet, das in einem senkrechten Magnetfeld Landau-Niveaus ausbildet, und wurde später auf Chern-Isolatoren mit verschwindender Gesamtmagnetisierung verallgemeinert. In diesem Fall sind jedoch weiterhin topologische Bänder mit nicht verschwindender Chern-Zahl erforderlich. Forschende der TU Dresden haben nun das Konzept des Quanten- Hall-Effekts auf Bandstrukturen ausgeweitet, die nach herkömmlichen Kriterien völlig trivial sind (d. h. alle Bänder besitzen eine Chern-Zahl von Null), jedoch sich gegenseitig kompensierende und energetisch getrennte Berry- Flüsse aufweisen. Werden in ein solches System zufällige Störstellen eingeführt, entsteht eine Mobilitätslücke, die das System unmittelbar in eine Quanten-Hall-Phase überführt, falls die Fermienergie in einem breiten Energiebereich innerhalb der trivialen Bänder liegt. Dieser Effekt kann als ein natürlicher ganzzahliger Rundungsmechanismus gesehen werden. Die Ergebnisse wurden durch umfangreiche numerische Simulationen bestätigt.
B. Michen, J. C. Budich,
Quantum Hall Effect without Chern Bands,
Phys. Rev. Lett. 135, 186603 (2025) (arXiv)